|
Kutatási anyag - 2002. szeptember
Naprendszerünk
belső térségei szabályos időszakonként katasztrofális kozmikus csapásokat
szenvednek el. Ezek olykor olyan súlyosak is lehetnek, hogy bolygók térülnek le
pályájukról, megváltozik keringési idejük, tengelyforgási sebességük vagy
irányuk, netán szinte megsemmisül rajtuk az élet. A jelek szerint nincs már
messze az az idő, amikor hasonlóan válságos korszak köszönhet ránk.
Anomáliák a Naprendszerben
A Merkur bolygó rendkívüli módon hasonlít
holdunkhoz.
Talán egykor maga is egy hold volt.
Már a bolygók
pályasíkjával is gond van. A legbelső bolygó, a Merkúr kivételével egyetlen egy
bolygó sem kering a Nap egyenlítői síkjában. Lennie kell egyfajta „külső erőnek”
amely eltéríti őket ebből a síkből.
A Merkur különös
bolygó. Tengelyforgása igen lassú, két merkúri év mindössze három merkúri napig
tart. Felszíne ugyanolyan kettősséget mutat, mint a mi holdunk. Egyik oldala
kráterekkel sűrűn felszaggatott, míg a másikon inkább a nagy medencék dominálnak.
Ez a megoszlás arra utal, hogy egykoron egy nagyobb égitest holdja lehetett. De
ha így volt, vajon hogyan került új pályájára?
A Vénusz nem kevésbé
különös. Tengelyforgási iránya ellentétes a megszokottal. Ráadásul egy vénuszi
nap hosszabb, mint egy vénuszi év. A felszíne nem kevéssé különös. Hatalmas
felföldek találhatók rajta, valamint olyan gigantikus repedésvölgyek, amilyenek
a kontinensek szétválásakor keletkeznek. Ilyen jellegű tektonikai tevékenységet
csak egy nagytömegű hold jelenléte válthat ki. Kézenfekvő a következtetés: a
Merkur bolygó volt egykoron a Vénusz holdja. Igen jelentős „külső erőt” kell
ahhoz feltételezni, amely ezt a bolygókettős eltépte egymástól.

A Vénusz egyik kontinense csaknem
akkora, mint az Egyesült Államok.
A Földdel és a
Marssal semmi gond, bár a Holdunk alacsony sűrűsége mindenképpen magyarázatra
szorul. E kér bolygó tengelyforgási sebessége normális, tengelyhajlási szögük
is, ennek köszönhetően mindkét égitest életet hordoz.
A Naptól távolodva a
négy kőzetbolygót négy gázóriás követi, a kisbolygó öv választja el őket
egymástól. A kisbolygó-övről feltételezik, hogy egykor szintén egy bolygó, a
Pheaton, keringett itt, de aztán valamilyen „külső erő” miatt darabjaira
hullott, s manapság már csak a roncsai figyelhetők meg. Elképzelhető, hogy a
Pheaton is hordozott egykoron életet.

A
Vénuszon pontosan olyan hasadékvölgyeket láthatunk, mint a Földön az óceánok
alzatán, a kontinensek kéreglemezeinek határán.
A Jupiter és a Szaturnusz már a kezdetektől fogva ismert, szabad
szemmel látható égitestek. Mindkettő körül keringenek „gyanús” holdak, melyek
akár életet is hordozhatnak. Amikor a csillagászati mérések tökéletesedtek,
kiderült, hogy Naprendszerünkben további hatalmas égitesteknek kell lenniük,
hiszen mind a Jupiter, mind a Szaturnusz mozgásában a számítotthoz képest
eltérések adódtak. Az Uránuszt tehát először „papíron” fedezték fel.
Az Uránuszt egykor
hihetetlen erős kozmikus csapás érte. Forgástengelye szinte benne fekszik
pályasíkjában, a bolygó majdhogynem „gurul” a pályáján. Ráadásul, tengelyforgási
iránya, a Vénuszéhoz hasonlóan, fordított. Holdjai azonban pontosan egyenlítői
síkjában keringenek, ezért adódik a feltételezés: holdrendszere a bolygó
katasztrófája után születhetett. Talán ez is az oka annak, hogy nincs jelentős
méretű kísérője. A számításokban mutatkozó eltéréseket a külső bolygók pályáinak
megfigyeléséből nyert adataihoz képest, az Uránusz felfedezése sem oldotta fel,
további külső nagybolygót kerestek tehát.

Az Atlantiszt elpusztító kisbolygó krátere az óceánfenéken.
A Neptunuszt ismét
csak „papíron” fedezték fel. A különös vele kapcsolatban az, hogy legnagyobb
tömegű holdja az ellenkező irányban kering körülötte, mint a többi, melyek
egyébként a megszokott nyugat-keleti mozgási irányt mutatják. A Neptunusz
szokatlan viselkedésű holdja más szempontok miatt is figyelemre méltó: légkörrel
rendelkezik, felszínén folyékony nitrogén tavak találhatók, és ezek a tavak akár
élőlényeknek is otthont adhatnak. A furcsaság az, hogy vajon hogyan kerülhetett
ilyen nagytömegű hold az előbb említett pályára úgy, hogy eközben a többi hold
pályája mintsem változott.
Talán említeni sem
kell, a Neptunusz pályájának pontos meghatározása sem tisztázta a helyzetet, a
számításokban mutatkozó eltérések további nagybolygók létét tették szükségessé.
A Plútó felfedezése nem tette egyszerűbbé e helyzetet, ellenkezőleg, tovább
bonyolította. A Plútón túl további jelentős méretű égitestek tucatjait fedezték
már fel (Kuiper-öv), de a gázóriások mozgásában mutatkozó eltéréseket sehogy sem
sikerült megmagyarázni.
A távoli üstökösök
pályáit már többen elemezték, számításokat végeztek külső nagybolygók
feltételezett helyére vonatkozóan, azonban ezeket a számításokat nem követte a
megjósolt távoli égitestek felfedezése. A „külső erő” azonban kétséget kizáróan
létezik, a Naprendszer távoli térségeiben járó űrszondák pályája eltér az előre
számítottól, igaz, csak parányi mértékben. Az eltérésekből azonban egyértelműen
adódik a következtetés: valami van odakint!
Ciklikus fajpusztulások, lesz-e
ismét „világvége”?
A fentebb említett
„külső erő” nem véletlenszerűen, elszórtan ad hírt magáról, hanem ciklusosan.
Kiderült, hogy a Mars és a Jupiter között húzódó kisbolygó-öv mellett egy
további is található a Plútón túl. Emellett a jól ismert Oort-féle üstökösfelhő
is folyamatos veszélyforrást jelent, amennyiben nagytömegű égitest közelíti meg
az ott keringő objektumokat, és pályájukról letérítve a Naprendszer belső tere
felé zúdítja őket.
Az
Oort-féle felhő
Az üstököspályák
elemzése révén jutott Oort és Lindblad arra a feltevésre, hogy a Naprendszert
egy „külső” üstökösfelhő burkolja, ennek távolsága a Naptól körülbelül
150.000-200.000 CSE (CSE = Nap-Föld távolság). Itt mozognak milliárd számra az
üstökösmagok. A Naprendszerhez közeli csillagok perturbáló hatására – vagy más
okokból – egy-egy ilyen nagy pályasugarú üstökösmag mozgása megváltozhat, és
olyan irányt vehet, amely a Nap felé tart. A Jupiter távolságában légkört, majd
látványos csóvát fejleszt. Az üstökösök élete többféleképpen folytatódhat:
visszatérhetnek a végtelen kozmoszba, ahonnan érkeztek, a Nap vagy valamelyik
nagybolygó hatására itt maradhatnak a Naprendszer belső terében,
felaprózódhatnak és meteorrajjá alakulhatnak, netán becsapódhatnak valamelyik
nagybolygóba vagy holdjába.
A kráterekkel
borított égitestek felszínét elemezve egyértelművé vált, a becsapódásos kráterek
nem folyamatosan és alkalomszerűen keletkeztek, ellenkezőleg, voltak időszakok
amikor nagyszámú kráter jött létre, míg hosszabb időszakokon át szinte egy sem.
Mindezek a
megfigyelések csak úgy magyarázhatók, hogy valamilyen nagytömegű égitest
rendszeresen megzavarta a kisbolygó öv, illetve az Oort-féle felhő égitestjeinek
mozgását. Ilyen szóba jöhető égitest lehet erősen elnyúlt ellipszis pályán
keringő egy vagy több bolygó, barna törpe vagy vörös törpecsillag.
A Föld írott
történelmét mindössze párezer évesre teszik, habár rendelkezünk a Pont d’Arc
barlang múzeumában látható legalább 33.000 éves feliratos kőtáblával is,
ilyesmiről nem igazán szeretnek a régészek beszélni. Az is nyilvánvaló, hogy ha
az emberiség írásos korában történik jelentős kozmikus katasztrófa, akkor a
civilizáció túlnyomó többsége megsemmisül, egyszerűen nem maradnak fenn
régészeti emlékek. Az emberi alkotások többsége így is, úgy is elporlad 5.000
évnyi időtávlatban, a nyomokat tehát nagyon nehéz felkutatni. A nehézségeket
csak fokozza a Föld szüntelenül változó arculata, a jelentős erózió.
Hosszabb
időtávlatokat kell tehát először megvizsgálni, földtörténeti korszakokat. A
kérdés tehát úgy hangzik, hogy földtörténeti léptékben ki lehet-e mutatni a
kozmikus katasztrófákban bármiféle ciklikusságot. A válasz természetesen: igen.
A Nemezis-hipotézis

Ciklikus fajpusztulások.
1984-ben a New York
Times két szerkesztőségi cikkben a Time magazin pedig címlap történetben
foglalkozott a Nemezis-hipotézissel. Két évtizede sincs tehát, hogy először
vetették fel tudósok annak lehetőségét, hogy Napunk kettőscsillag, kísérője az
üstökösfelhő megbolygatásával pusztulást hozó Nemezis, egy vörös vagy barna
törpecsillag. Erre a következtetésre az ősmaradványok elemzésével jutottak.
Elméletük megfogalmazásában korábbi, hasonló felvetések is szerepet játszottak.
Összefüggést találtak a nagyarányú fajkihalások és az adott földtörténeti
rétegek magas iridiumtartalma között. Az irídium ritka fém, a meteoritokban
azonban jelentős mennyiségben található.
David Raup és John
Sepkowski Jr. Az utóbbi 250 millió évet átfogó földtörténeti leleteket
tanulmányozta alaposan. Azt találták, hogy az irídium mennyisége az egyes
rétegekben jelentősen emelkedik nagyjából minden 26. millió év tájékán. Találtak
egy jellemző 30 millió éves ciklust is, bár nem annyira éleset. (Ez arra utalna,
hogy a Nap nem is kettős, hanem sokkal inkább hármas rendszer. ) A csillag a
nevét a Nature egyik szerkesztőjétől kapta: Nemezis.

A Jupiterbe csapódó üstökösdarabok akkora lökéshullám-felhőket keltettek, mint a
Föld átmérője.
Az elméletet
természetesen sokan bírálták, igyekeztek mindenféle más megoldást találni a
ciklikus fajkipusztulásra. Próbálkozásaik azonban már eleve kudarcra voltak
ítélve a szilárd bizonyítékok miatt. Az ellenzők csupán egyetlen megfontolandó
érvet vetettek fel: a Nemezist látni kellene. Azonban a Kígyótartó csillagkép
felől Naprendszerünk belső tere felé sűrű kozmikus felhő tart, ha pedig a
Nemezis éppen ebben az irányban tartózkodik, akkor fénye elnyelődik.
Napközeli pontján fél
fényévre közelíthet meg bennünket, hogy aztán 3 fényévre is eltávolodjon. Mivel
a legutóbbi nagy kipusztulás nagyjából 13 millió éve volt, adódik a feltevés,
jelenleg pályájának legtávolabbi pontján rója körét. Átmérője 100.000 km-nél
nagyobb lehet, tömege a Napénak 5-10%-a. Rendelkezhet saját bolygórendszerrel
is, melyen minden további nélkül élet is kifejlődhetett, hiszen a vörös
törpecsillagok rendkívül hosszú ideig sugároznak egyenletes teljesítménnyel.
Természetesen akár intelligens élet is. A látogatók a Nemezis bolygóiról is
érkezhetnek (világos bőr, átlátszatlan fekete szemüveg).
Marduk csillaga – a Nibiru
Bizonyított tény
tehát, hogy a Nemezis rendszeresen „világvégét” okoz. Jelenleg szerencsére nem
kell tartanunk tőle, hiszen messze jár. A mérések az utóbbi években finomodtak
és az egész Földre kiterjedtek. Ha az írásos emlékek túlnyomó többsége meg is
semmisült, a népek emlékezete, rajzaik megőrizte történelmüket. Az események
alapos megismeréséből levonható következtetések nem jeleznek rózsás jövőképet.
Ahogy azt már Szolón révén a szaiszi papoktól is tudhatjuk, az emberi faj
többször pusztult már ki szinte az utolsó szálig. És ha eddig így volt, ezután
sem lesz másként. A kérdés az: tudunk-e valami kézzelfoghatót mondani közeli
jövőnkkel kapcsolatban, magyarán: lesz-e a közeljövőben világvége?
A Mars példáját látva nem ringathatjuk magunkat illúziókban. Testvérbolygónk
fejlett civilizációját kisbolygóbecsapódás törölte el a felszínről. Igaz, a
kisbolygó-övhöz közelebb kering mint Földünk, viszont a mi bolygónk tömege
többszöröse a Marsénak. Hasonló jelenségnek lehettünk szemtanúi,
amikor 1994. július 18-án a Shoemaker-Levy üstökös darabokra szakadva a
Jupiterbe csapódott. Ilyen csapás-sorozatot a földi élet nem igazán élt volna
túl.
Kozmikus
fenyegetettségünk
Victor Clube és Bill Napier: „Lehet, hogy nem vagyunk tisztában vele, a kozmosz
egyszerűen késlelteti a következő pusztító, akár halálos becsapódássorozatot. A
világ a kozmikus biztonság illúziójában ringatja magát, s az egyház, az állam és
a tudomány semmit sem tesz azért, hogy megzavarja ezt az idilli elképzelést. Ha
továbbra is ebben az illúzióban ringatjuk magunkat, akkor a katasztrófa
bekövetkezése a legsötétebb korba taszítja vissza az emberiséget. Pedig világunk
meglehetősen törékeny: elég csak felnézni az égre.”
Fred Hoyle: „Több
mint különös az, hogy az emberiség kíváncsian fürkészi a világűrt, és annak
távoli galaxisait, ugyanakkor látszólag tudomást sem vesz arról a lehetőségről,
hogy esetleg a Földet kozmikus katasztrófák fenyegetik…”

A Tunguszkai becsapódás környezete.
Fred Hoyle és Chandra
Vickranasinghe közelmúltunkat kutatta. Úgy találták, hogy egy óriás-üstökös
érkezett Naprendszerünk belső terébe úgy 20.000 ével ezelőtt. Darabokra szakadt,
majd egyik hatalmas része becsapódott a Földbe Kb. 13.500 évvel ezelőtt,
eltörölve az atlantiszi civilizációt, kiirtva az emberiség 90-95%-át, hasonló
mértékű pusztítást végezve a többi faj között is, valamint egy csapásra
megszüntetve a jégkorszakot.
A hőmérsékleti
változásokat és a régészeti leleteket elemezve arra következtettek, hogy további
– bár arányaiban messze kisebb – becsapódások következtek be 9000, 7000, 6000,
4500, 3000 és 1500 évvel ezelőtt is. Minden egyes esetben a kaotikus állapotok
több évtizeden át tartottak, sőt, akár egy évszázadig is, és ez idő alatt
többször is tunguszkai méretű repeszek csapódtak a Földbe, évente akár 100 is.
Duncan Steel szerint a becsapódások aránya időnként annál sokkal nagyobb
méreteket is ölthetett, és számításai szerint ilyenkor: „kataklizmák sújtották
bolygónk kiterjedt területeit, annak köszönhetően, hogy napokon keresztül
összefüggő kozmikus meteorzápor hullott a Földre. Teljes mértékben elképzelhető,
hogy ilyenkor pár nap alatt a Föld több száz olyan ütést szenvedett el, mint a
tunguszkai becsapódás idején.
A
Tunguszka meteorit
1908. nyarán
hatalmas katasztrófa történt a szibériai köves Tunguszka folyó vidékén. A
legújabb feltevések szerint üstökösmag okozhatta. 6 km-es magasságban
felrobbanva több tucat kilométeres körzetben kidöntötte a fákat. A
lökéshullám-front háromszor megkerülte a Földet. Az északi féltekén hónapokon át
„ezüst éjszakákat” lehetett megfigyelni. A detonáció ereje másfél ezerszer múlta
fölül a hirosímai atombomba robbanását. A tunguszkai eseményeket a mai napig
titokzatosság veszi körül, hiszen a katasztrófa területén megnövekedett
radioaktív sugárzás mérhető, és ez az ott élő növények és állatok szervezetére
is folyamatosan hatást gyakorol.

A tunguszkai becsapódás helye a
térképen.
A Nemezis tehát nem
jelent ránk jelenleg veszélyt. A kérdés most úgy szól, ismerünk-e olyan
égitestet, netán többet is, amely elnyúlt ellipszispályán keringve akár a
Kuiper-öv, akár a Mars és a Jupiter között húzódó kisbolygó-öv égitestjeinek
pályáját megbolygatva a Föld felé térítheti őket? A válasz ismét csak: igen.
Sőt, jó néhányukat már sikerült lefényképezni is.
1981-ben, az USA-ban
számos napilap közölte különböző tudósok véleményét a Plútón túl keringő
óriásbolygó létezésével kapcsolatban. A NASA 1982-ben tanulmányt készített, ahol
pontos számításokat és igen precíz elemzést találhatunk. Nevezett mű
megtalálható a NASA Astrophysical Data System - 1988AJ.....96.1476H kódjelzés
alatt. Pontos képletet találhatunk a Planet X, azaz a tizedik bolygó
legvalószínűbb feltalálási helyére vonatkozóan - R.S. Harrington munkája nyomán.
Mindössze egy évvel később bocsátották fel az IRAS (infravörös távcsővel
felszerelt csillagászati mesterséges holdat) és szinte azonnal meg is találta a
10. bolygót. A Washington Post mindjárt le is közölte a hírt, az IRAS holdat
vezérlő tudóscsoport vezető csillagászát megszólaltatva. Kijelentését idézve:
„…egy nagyjából Jupiter nagyságú, Naprendszerünkhöz tartozó bolygó (jellemzőiben
tökéletesen megfelelve az ősi iratokban fennmaradt adatoknak) felfedezéséről
számolhatok be. Jelenleg az Orion csillagkép irányában tartózkodik. Az IRAS hold
szinte abban a pillanatban megtalálta, mihelyt fő műszerét a korábban
meghatározott irányba fordítottuk. Létezéséről és pontos helyéről már hosszú
évek óta tudtunk, most technikai megerősítésre is szükségünk volt. Amit mondok
azt a lehető leghatározottabban alátámasztják a mérések, és a legteljesebb
mértékben biztosíthatom önöket arról, hogy megfelel a valóságnak.
Ellenőrizhetik. Próbálkozások történtek arra vonatkozóan, hogy mindezeket a
tényeket letagadják, s ezáltal meghamisítsák a történelmet.”
A Planet X mozgását
két csillag határozza meg: a Nap és a Nemezis. A jelenlegi legkorszerűbb
távcsövek használatával bizonyosnak tűnik, hogy 2003. tavaszán, május végén vagy
június elején, a Jupiter pályáján is belül kerülve, Naprendszerünk belső
térségébe hatol. A NASA 1995-ben készített jelentése szerint elképzelhető, hogy
sokkal inkább barna törpéről, mint bolygóról van szó, hiszen nagy érzékenységű
műszerek segítségével sikerült érzékelnie a mágneses terét.
A helyzetet tovább
bonyolította, hogy mindeközben a Plútón túl már kb. 400 égitestet fedeztek fel,
s csak töredéküknek sikerült a pályáját legalább hozzávetőleges pontossággal
meghatározni. Ami viszont feltűnő, hogy igen tekintélyes méretű égitesteket is
találtak, többek közt a valaha felfedezett legnagyobb kisbolygót, a 2001
KX76-et. A Planet X mellett akár tucatnyi égitest is Naprendszerünk belső tere
felé mozoghat. Elkövetkezett a bőség zavara.
Fontos hangsúlyozni:
rendkívüli nehézségekbe ütközik az ekkora távolságra lévő égitestek tömegének,
átmérőjének, sűrűségének és pályájának meghatározása. Furcsa mód, a NASA mindig
is kereste a 10. bolygót, csak éppenséggel nem volt hozzá műszere, hogy meg is
találja. A Planet X-nek nevezett objektum felfedezése akár véletlen is lehetett,
volt már ilyesmire példa, hogy az egyik nagybolygó helyét tévesen számolták ki,
aztán mégis ott volt, ahol nem lett volna szabad lennie. Elképzelhető, hogy
szándékosan kuszálták össze a híreket, hogy eltereljék a figyelmet a lényegről.
Ez sem újkeletű módszer. Hirtelen azzal találtuk szembe magunkat, hogy már
nemcsak egy 10. bolygó van, de akár több száz is. Tessék, lehet válogatni! De
vajon melyik az igazi?
A kérdést úgy is
módosíthatjuk, hogy mivel egyes népek történelmi hagyományaiban, „mondáiban”
említést tesznek ilyen égitestről, akkor fel tudjuk ismerni egyáltalán? Nem
árulok el titkot, a válasz ismét igen, meg is nevezik Marduk csillaga, más néven
Nibiru. És hogyan ismerjük fel? Onnan, hogy Marduk csillaga vörös. Az összes
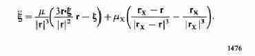
Plútón túl felfedezett égitest fénye fehér. De van egy kivétel: és ez a Nibiru.

A Nibiru felfedezését biztosító
képlet.
A NASA 1982-ben igen precíz elemzést készített az ősi sumer-magyar szövegekben
leírt, a NASA által Planet-X-nek nevezett, Nibiru pontos helyzetére vonatkozóan.
Az Infravörös távcsővel felszerelt csillagászati mesterséges hold, az IRAS, a
pályára állítását követően szinte azonnal meg is találta az előre kiszámított
helyen, mint ahogy erről be is számoltak akkoriban. Azóta azonban a helyzet
megváltozott, a hírek és álhírek összevisszaságában szinte lehetetlen rátalálni
az igazságra.
Mezopotámiai feljegyzések
Mielőtt a régészeti
leleteket ismertetem fontos megjegyezni, hogy a sumér-magyarok által leírt
égitestet a legtöbben számos holddal rendelkező bolygóként azonosítják. A
lehetősége azonban annak is fennáll, hogy a Nibiru nem bolygó, hanem barna
törpecsillag, hét kísérővel. Ha ez utóbbi feltételezést fogadjuk el – márpedig a
NASA mérései erre utalnak -, akkor könnyebben értelmezhető az égitest
napközelben megfigyelt jelentős sebessége, a leírt gravitációs hatásai
(áradások, földrengések), erős mágneses tere, hirtelen felfénylései, mélyvörös
színe.

1. ábra. Nippurban (Nap - Úr -ban) talált pecséthenger. Földművesek figyelik az
égen nappal is látható Nibirut.
A mezopotámiai
szövegek nem győzik hangsúlyozni az égitest jelentős fényességét, kiemelni, hogy
az még nappal is megfigyelhető: „látható napkeltekor és napnyugtakor tűnik el”.
Egy Nippurban talált pecséthengeren (1. ábra) egy csoport földművest ábrázolnak
amint feltekintenek a kereszttel jelölt 12. bolygóra (Zecharia Sitchin ismert
műveiben ezen a néven hivatkozik rá). Az égitest több okból is kaphatta ezt a
jelet. Talán azért, mert gyűrűrendszere van, s a megfigyelők éppen oldalról
láttak rá. Ha pedig az „istenek” is innen jöttek, akkor célszerű volt a bolygó
jelével azonosítani őket, a kereszt jel tehát így vonulhatott be a legtöbb nép
ábrázolásába „Isten” jeleként.

2. ábra. A Nibiru közeledésekor metszett jellegzetes pontok.
Számos
pecséthengeren találkozhatunk az égitest mozgását bemutató ábrázolásokkal,
feltüntetve azokat a különösen fontos csillagászati pontokat, melyeken
áthaladásakor könnyedén azonosítható a Földről nézve. Földközelbe érve
megfigyelésére első lehetőségként az az időpont adódik, amikor együttáll a
Merkúrral (A – pont). Számítások szerint ekkor a földpálya kistengelyével a
közelítő égitest éppen harminc fokos szöget zár be. Amint tovább közeledik az
előző pozíciójához képest ismét kb. harminc fokra kerül akkor, amikor a Jupiter
pályáját metszi (B – pont). Végül pedig eléri napközelpontját, ahol egykoron a
születő Földnek ütközhetett - vagy valamelyik holdja (C - pont).
A manapság a
„Mennyek Királyságának” visszatéréséről szóló spekulációk alapjául azok a tények
szolgálnak, miszerint az ősi emberek többször is megfigyelték a 12. bolygó
áthaladását Naprendszerünk belső terén.
Az égitest ismételt
megfigyelése alátámasztja azt a feltevést, miszerint jelenléte a napkörüli
pályán folyamatos, tehát Naprendszerünk része, hasonlóan számos hosszú periódusú
üstököshöz.

3. ábra. Berlini Múzeumban őrzött pecséthenger - a Naprendszer ábrázolásával.
Mezopotámiai és
bibliai források nagy határozottsággal állítják: a 12. bolygó keringési ideje
3600 év. A sumér-magyar ősi szövegekben a 3600-as szám jele egy nagy kör volt.
Az égitest epithetonja egyébként a „Sár”, melynek jelentése többek közt
„tökéletes ciklus”, illetve „teljes kör”, egyben a 3600-as számot is jelöli. A
három kifejezés-tartalom – égitest/ciklus/3600 – szoros összefüggése
nyilvánvalóan nem lehet puszta véletlen. A sumér-magyar isteni királyok
uralkodási ideje minden esetben tökéletesen osztható 3600-zal. A következtetés
mindebből csakis az lehet, hogy a isteni királyok uralkodási ideje egyértelműen
összefügg a Nibiru 3600 éves keringési idejével.
Az ősi feljegyzések
teljes mértékben egyetértenek abban, hogy a 12. bolygó feltűnését váratlan
katasztrófák, nagyarányú változások és korszakváltás kíséri. A mezopotámiai
szövegek az égitest periodikus megjelenéséről mint előrelátható, pontosan
kiszámolható, megfigyelhető eseményről beszélnek. „A hatalmas égitest
megjelenésében sötétvörös.” Megjelenésének napját az Ószövetségben leírtak
szerint esőzések, áradások és földrengések kísérik.
A következő képen a Berlini Múzeumban őrzött, az ősi Közel-Keletről származó
pecséthenger látható. Amikor a középső istenalakot, illetve mennyei lényt
kinagyítjuk, megfigyelhetjük, hogy igazából egy hatalmas, sugárzó csillagot
ábrázol, 11 égitesttől övezve. Ezenkívül, mintegy láncra felfűzve, 24 kisebb
objektumot láthatunk. Igen valószínűnek látszik, hogy ezek a kisebb testek
Naprendszerünk nagyobb holdjait képviselik.

4-5. ábra. A törökországi
Nimrud-tábla és az ábrázolt égitestek beazonosítása
Természetesen
bizonyítást igényel az a kijelentés, hogy ez az ábrázolás valóban
Naprendszerünket reprezentálja. Még ha a Napot és a Holdat belevesszük is, akkor
is csak 11 égitestet kapunk (Nap, Merkur, Vénusz, Föld, Hold, Mars, Jupiter,
Szaturnusz, Uránusz, Neptunusz, Plútó). A sumér-magyarok azonban mindezt
pontosan megmagyarázzák. Határozottan állítják, hogy a Naprendszer 11 bolygóból
áll (beleértve a Holdat is), meggyőződéssel hangoztatják, hogy a manapság ismert
nagybolygókon kívül van még egy tagja Naprendszerünknek, a 12. bolygó, a bibliai
Nephilimek (Annunakik) otthona, a manapság Planet-X-ként hivatkozott égitest.
A régészek
bárhol is kutassanak a közel-keleti társadalmak nyomai után, mindenhol
beleütköznek a 12, a szárnyas bolygó jelképébe. Uralkodó jelképként figyelhető
meg templomokon és palotákon, sziklákba vésve, pecséthengereken, falakra festve.
De megtalálhatjuk királyokkal és papokkal együtt ábrázolva a trónjaik felett.
A különböző vallási
tárgyú és csillagászati ábrázolások között rendszeresen visszatérő momentum
visszatérésére és a nagy ciklusra vonatkozó információk. A Földpályát
rendszeresen megközelítő égitest, a „találkozás”, az „elhaladás”, vagy a
„kereszteződés” bolygójának jele a kereszt. A kettős kereszt (csillag – dingir)
egyébként „isten” jelentéssel is bír.
Marduk
A babiloni panteon központi
istensége, Babilon város főistene. Első írásos említése 4500 évvel ezelőttről
ismert. Babilon védőisteneként már a III. Úr-i dinasztia (Kr.e. 22. sz.) alatt
megemlítik. Központi istenséggé Babilonnak az I. Babiloni dinasztia (Kr.e. 16.
sz.) alatti felemelkedése során lett, amikor is felvette más, főleg sumer-magyar
(a sumer-magyar nyelvazonosság bizonyított!) istenek vonásait és jelzőit. Már
Hammurápi törvénykönyvének bevezetőjében, mint Ea elsőszülött fiának Anu és
Enlil átadják neki az emberek fölötti hatalmat, és minden égi isten fölé emelik.
Számos átvett epithetonja és tulajdonsága között az Enkitől és Aszalluhitól
származók vannak túlsúlyban, amelyek Marduk bölcsességét, gyógyító-tudományát,
igézőerejét hangsúlyozzák. Megkapja a víz és a növények istenének funkcióját is.
Utu istentől, akit olykor fivérének mondanak, rászáll az „Istenek Bírája” cím.
Fő epitheonjai: „Istenek Ura”, „Istenek Atyja”. Felesége Szarpánítu, fia Nabu.
Fő temploma az Észagila (Babilon főtemploma, ahol az „isten megszabja a sorsot”. (Mitológiai Enciklopédia)
A Nibiru legutolsó
átmenete egy törökországi hatalmas kőfaragványon, a Nimrud-táblán is látható
(4-5. ábra.) Az Oroszlán csillagkép felett három bolygó, a csillagképtől jobbra
a Nibiru. Az átmenet időpontjára csak találgatások lehetnek, hiszen az adott
bolygóegyüttállás nagyjából ötven évenként előfordul.
A Nephilimek
De kik is azok a
Nephilimek, akik nevét a legtöbb Biblia-fordító „óriásnak” értelmezi, „égből
jött lakók” helyett?
Mózes első
könyvében a következőket olvashatjuk a Vízözön biblikus változatában:
„Abban az időben, amikor az
istenfiak bementek az emberek lányaihoz, és azok gyermekeket szültek nekik – sőt
még azután is – óriások (Nephilimek) éltek a Földön. Ők azok a vitézkedők, akik
ősidőktől fogva hírnevesek voltak.”
A sok ezer évvel
korábbi sumér-magyar táblák tömege említi a Vízözönt. Az egyik, Úr-Ninurtáról
szóló így beszél:
„Azon a napon, a
hajdankor hajnalán,
azon az éjjelen, a
hajdankor éjjelén,
abban az évben, a
hajdankor távoli évében,
amikor a Vízözön
eláradt a Földön.”
A földlakókat
figyelmeztették a közelgő Vízözönre. A veszélyt felismerők nem lehettek mások,
mint a Nephilimek, akik aztán el is menekülhettek a Földről. De honnan tudták a
Nephilimek, hogy mikor indul pusztító útjára a Vízözön?

6. ábra. Fantáziakép
a Nibiru áthaladásáról
A mezopotámiai
szövegek a Vízözönt és az azt megelőző klímaváltozást hét „elhaladáshoz”
kapcsolták, ami kétségkívül a 12. bolygónak a Föld melletti rendszeres
elhaladását jelenti. Tudjuk, hogy a Hold, a Föld kísérője is, a tömegvonzás
révén árapályt okoz. A mezopotámiai és a bibliai szövegek egyaránt megemlékeznek
arról, miképpen rázkódott meg a Föld, amikor az Égi Úr elhaladt a Föld mellett.
Elképzelhető-e, hogy a Nephilimek, akik az éghajlati változásokat megfigyelték,
felismerték a labilitásokat, és rájöttek arra, hogy a soron következő
„elhaladás” nagyarányú katasztrófát vált ki?
Az ókori
szövegekből erre következtethetünk.
Egy Asszurban
talált sumér-magyar miniatűr tábla azzal a kijelentéssel kezdődik, hogy hatalmas
ereje és nagy termete dacára a bolygó („a hős”) a Nap körül kering. Idézzük:
„Fegyvere a Vízözön;
fegyvere halált hoz a
gonoszakra.
Fenséges, fenséges,
felkent úr!…
ki mint a Nap halad
át az országon,
s a Napot, istenét,
rettegés tölti el.”
Az áradás végéről
is olvashatunk:
„Amikor a bölcs így
kiált: Áradás! –
Nibiru isten az [„a
Találkozás Bolygója”],
A hős, a négyfejű
bolygó.
Az isten, kinek
rettenetes fegyvere
az áradást hozó
vihar,
visszafordul.
Visszatér nyughelyére.”

7. ábra. A Nibiru mérete
a
Naprendszerünk égitestjeihez képest
A Vízözön léte
ellen az egyik leghatározottabb érv, hogy egyszerűen nincs annyi víz a Földön,
mely elboríthatná a legmagasabb hegyek kivételével az egész Földet. Néhány
hónappal ezelőtt még legalábbis mindenki így tudta. A nyáron azonban brit
geofizikusok kiderítették, hogy a kontinensek gyökereiben akkora mennyiségű víz
van, mely a Föld óceánjainak háromszoros tömegét jelenti! Ha tehát a gravitációs
hatások folytán ennek az irdatlan vízkészletnek csak a töredéke is kiszabadult,
már meg is van a „hiányzó vízkészlet”.

8. ábra. A
2001 KX766 jelű kisbolygó ezen a képen
még ragyogóan kék.

9. ábra. A Newsweekben megjelent fotón már kissé "bepirosodott".
Az őskori és ókori emberek tehát pontosan tudtak
a Nibiru időszakos átvonulásáról, és arról is, hogy ez – adott esetben – milyen
katasztrofális kihatásokkal lehet a Földre. Lehetőségük volt tehát felkészülni
az ilyen eseményekre, s ezt minden bizonnyal meg is tették, hiszen a krónikákból
egyértelműen ez derül ki. Érdekes elgondolkodni azon, hogy a „primitívnek”
tartott őskori és ókori ember évezredekkel előre megtervezte cselekedetit.
Velünk bizony meglehetősen sokszor fordul elő, hogy még azt sem tudjuk, mit hoz
a holnap. Persze, ha a környezetszennyezés és készleteink felélése egyre
gyorsuló tempóban tovább folyik, ennek a kérdésnek hamarosan nem lesz semmi
jelentősége…
Gondolatmenetünket
folytatva, most azt kellene megvizsgálni, mikor várható a következő „áthaladás”.
Teremtés-eposz
Székhelyet
teremtett az isteneknek.
Csillagkép-hasonuk gyanánt a Lumasi-csillagokat
az égre
fölszegezte.
Megmérte az
esztendőt,
felosztá
szakaszokra,
tizenkét hónapja
fölé eggyel-egyen
három csillagot
rendelt.
Megjelölvén az
évnek napjait,
Níbirunak székhelyet szentelt, köré feszes övet
vont.
Hogy ne kísértsen
vétek, tévedés:
Enlil s Éa
helyét is kijelölte.
Kaput nyitott ki mindkét oldalon,
balra-jobbra erős
reteszt rakott föl;
az égbolt
tető-csúcsát Tiámat legbensőbb
bensejébe helyezé.
Fölragyogtatta Nannart fényesen,
reábízta az ég Őrizetét:
villanjon, mint a
zord éj ékszere, sugáraival mérje az időt.
"Hónapról-hónapra, jöjj csak elő, lépj ki az ékes tiarából;
hó elején, a föld
fölött ragyogva
hat napon át
szarv alakban világíts;
hetednapon
fél-koronát utánozz,
sabbátu-napon állj szembe a Nappal!
Ha pedig a
látóhatáron utólér a Nap tüzes fogata,
attól fogva izzó
korongod kisebbedve ragyogjon!
Bubbulu-napon közelítsd meg a Nap-pályát, majd
a harmincadik
napon újra szemtől-szembe kerülj a Nappal!
Adj jósjelet,
útján haladván.
Közeledvén hozzá,
ítélkezz!"
Gilgames –
Teremtés eposz (Enúma Elis). 5. tábla.
Nyersfordítás:
Komorócy Géza, Vers: Rákos Sándor
2003 - az
áthaladás éve?
A Nibirut közel
húsz éve sikerült először megfigyelni. Természetesen azóta is folyamatosan
nyomon követik. A hírek és fotók azonban erősen esetlegesek. Különös módon,
amikor a 2003-as „áthaladás”, mint lehetőség először a köztudatba szivárgott, az
Internetről szinte azonnal eltűnt valamennyi fotó… A hivatkozások megmaradtak,
„csak furcsa” mód a képek tűntek el… Ellenben az akkoriban felfedezett 2001 KX76
kisbolygóról elterjesztették, hogy tulajdonképpen az a Nibiru. Igyekeztek is
alátámasztani, hiszen napvilágot látott olyan fotó, amelyen mélyvörös színűnek
tűnik. Csakhogy „elfelejtették” azokat a képeket törölni, melyeken a 2001 KX76
kisbolygó egyértelműen kék színű. Tehát nem alaptalan a gyanú, hogy valami
turpisság történt… Különösen nem, ha figyelembe vesszük, hogy az amerikai
kormányzat utasította a NASA-t, 2005-re fejlesszen ki olyan ionhajtóművet, mely
100 t-ás tömeget képes nagysebességre felgyorsítani. Aránylag még nyíltan is
dolgoznak, hiszen az emberek már várják, mikor lép ember a Marsra. Csakhogy ez a
hajtómű nem a Marsra visz űrhajósokat, sokkal inkább a csillagközi tér a célja.
De ha ott nincs semmi, akkor mégis hová repül?
Nem kell túlságosan nagy fantázia ahhoz, hogy a NASA meghatározó emberei tudnak
a Nibiruról hiszen ők fedezték fel. Arról is hallhattak, hogy az égitest az
„Istenek Lakhelye”. Ha pedig tényleg az, nem lehet érdektelen meglátogatni őket,
mielőtt ők jönnek ide. Már csak a miheztartás végett is.

A Palomar-hegyi távcsővel
felfedezett, s Földünk irányába tartó hatalmas üstökös kontrasztjavított képe.
A 2003-as „áthaladás”-ra vonatkozó híreknek is azért van némi valóságalapja. A
jövő tavasszal ugyanis egy gigászi üstökös érkezése várható a Naprendszer belső
térségébe. Amíg az emberek azt hiszik, hogy az a Nibiru volt, mindössze "néhány
ufókutató ismét elszámította magát" addig nincs gond, nyugodtan lehet a
háttérben dolgozni. A gond akkor lesz, ha az emberek észreveszik a becsapást. A
szándékos és hivatalos becsapást. De addig még eltelik néhány évtized, hiszen a
Nibiru érkezése csak 30-50 év múlva várható. A világvége tehát kicsit később
lesz. Persze, az emberiségen is sok múlik.....
Barna törpék
Fantáziarajz
egy barna törpéről
A csillaggá válás kritikus határa a naptömeg néhány
százalékánál húzódik (a Jupiter tömege kb. 1%-a a Napénak). Az ennél nagyobb
tömegű összesűrűsödő gázgömbök elegendően nagy tömegűen ahhoz, hogy saját súlyuk
hatására a középpontjukban elegendően nagy hőmérséklet és nyomás alakuljon ki a
fúzió beindulásához. És ha a sűrűsödő gázgömb tömege kevéssel alatta marad ennek
a határnak? Akkor belsejében sohasem indul meg a fúzió és az összehúzódásából
származó gravitációs energia lassan szétsugárzódik a felszínéről. A kicsiny
égitest felszíne is szükségképpen kicsiny, így a szétsugárzódás, a hűlés is
nagyon lassú lesz. A modellszámítások szerint ezek a soha lángra nem lobbanó
csillagzsarátnokok akár a Nap élettartamánál tízszer hosszabb ideig is
elpislákolhatnak, azaz 100 milliárd évig. Az ilyen égitest felszíne legfeljebb
néhány ezer fok hőmérsékletű. Energiáját elsősorban az infravörös tartományban
sugározza ki. A valamivel melegebb, már igazi csillagnak számító vörös törpék
sugárzási maximuma a közeli infravörösben van. a teljesen kihűlt fekete törpék
már szinte semmit sem sugároznak. A vörös törpék és a fekete törpék közé
illeszkednek a csillaggá válás határát éppen megközelítő égitestek, a barna
törpék. Az első barna törpe, a HD 114762 körül keringő, a Jupiternél 11-szer
nagyobb
égitest felfedezése óta kb. 10 éve telt el. Azóta számolatlanul bukkantak
rá a csillagászok. Sőt, egyre inkább úgy tűnik, hogy a Naprendszerek
születésének teljesen normális „melléktermékei” a barna törpék. A Nibiru
tömegére vonatkozó számítások elég jelentős szórást mutatnak, a legbizonyosabb
érték nagyjából 5 Jupiter-tömegre adódik. Mivel a barna törpék rendkívül hosszú
ideig bocsátanak ki állandó sugárzást, az élet minden nehézség nélkül
kifejlődhet körülöttük.
A NASA
tudósai 1982-meghatározták a Nibiru helyét, 1983-ban pedig az IRAS mesterséges
hold – igazolva a számítások pontosságát – fel is fedezte. A siker bejelentését
követő években azonban minden a visszájára fordult: álhírek és félrevezető
információk tömege jelent meg a médiában. A „hivatalos” hazugságok kora ennél
azonban jóval régebbre nyúlik vissza. Többek közt az ősrobbanás, az evolúció,
valamint a fénysebesség abszolút voltára vonatkozó elméletek már-már kötelező
érvényű elfogadtatásával…
„Honnan
jöttünk, hová megyünk?”

Naprendszerünk mása a
Rák csillagképben.
Az ember mindig is
kereste, kutatta az élet és önmaga eredetét. Kétféle, alapvetően különféle
lehetőség kínálkozott: a Világot – és benne az embert – Isten teremtette,
illetve, hogy mindez magától, fejlődés útján jött létre. A két tábor mindent
elkövetett (vélt) igaza alátámasztására, azonban kudarcot vallottak. Ahogy a
teremtés megtörténtét tudományosan semmi sem támasztja alá, úgy az 1800-as évek
második felében, a hivatalos tudomány által inkább támogatott
ateista-materialista-evolúcionista világnézetet sem (az innen-onnan
összeszedett, olykor összehamisított leletdarabok leszármazási sorba illesztése
tudománytalan és elfogadhatatlan!). A Tan Darwinban öltött csúcsot, s minden más
elképzelést és ezzel mindenki mást is félresöpörtek, akik nem feleltek meg a
korszellemnek. Többek közt Cuvier-t is, aki nemcsak felderítette, hanem be is
bizonyította az igazságot… Ám ellenpélda is akad, az USA számos államában
törvénnyel tiltották meg az evolúciós tan oktatását.
Az élet többi
területe sem maradt kivétel. Lehetne említeni az őszrobbanást, a
származás-elméleteket, a Biblia nevében legyilkolt emberek tízmilliót,
emberfajták állati sorban tartását, tömeges kiirtásukat mondván például, hogy a
„vadaknak” nincs szüksége akkora területekre, őseik földjére…

Ultrakönnyű anyagból
készült repülő csészealj.
A tudományos
világban a vezető tudósok szinte „nemzetiségi alapon” kerülnek kiválasztása, nem
pedig tudományos munkájuk értéke alapján. Mindehhez a politika is keményen
asszisztál, jobban mondva diktál. A mai világban szinte lehetetlen „független”
kutatásokat végezni, hiszen az ember szinte mindenhol félrevezetéssel, szándékos
megtévesztéssel, érdekekkel, hatalmasságokkal találkozik.
A relativitás-elmélet is „ideológiai alapon” született. Be kellett bizonyítani,
hogy az ember az egyetlen értelmes lény a világegyetemben, tehát szabadon
kizsákmányolhatja, tönkreteheti azt. Földönkívüliek nincsenek, hiszen az élet
„véletlenül” keletkezett. Ha meg netán „véletlenül” mégis léteznének, akkor sem
tudnának meglátogatni bennünket, mert „fénysebességnél gyorsabban semmiféle
hatás nem terjedhet”, tehát számunkra nincsenek. Az ufómegfigyelések, az
ufóleszállások, a személyes találkozások a földönkívüliekkel tehát már eleve a
„képzelődés” kategóriába sorolhatók, hiszen az ufonauták úgysem képesek
meglátogatni bennünket, hiszen már a Michelson-Morley kísérlet is igazolta, hogy
fénysebességnél… stb. A kísérletből aztán azt a következtetést
is levonták, hogy „természetesen” éter sem létezik. A Nobel-díjas Wheeler
(biztosan véletlenül kapta meg!) hiába számolta ki az 1980-as években az éter
tömegét és sűrűségét, senki a „hivatalos” tudomány részéről nem foglalkozott
komolyan vele.
Természetesen a
Michelson-Morley kísérlet értelmezése is, hm, legalábbis megtévesztő… Mindössze
azokat a részeket „felejtették el” közzétenni, amelyek az éter létezését
bizonyították, és teljesen ellentmondtak a fénysebesség abszolút voltát
illetően…
A
Michelson-Morley kísérlet
Soha még
egyetlen, többször is megismételt kísérlet sem gyakorolt talán akkora hatást a
fizikára, mint az, amelyet Abraham Michelson hajtott végre 1881-ben, 1883-ban és
végül, Williams Morley-vel közösen 1887-ben. E kísérletek némiképp különböztek
egymástól elrendezésben. Lássuk az egyiket!
Ebben a következő
felépítést látjuk: a fénysugarat egy félig áteresztő tükörrel kettéosztották, és
egymásra merőlegessé tették. A Föld a világűrben 30 km/s sebességgel halad a Nap
körül. Az első fénysugár útja egybeesik a haladás irányával, a másiké pedig
merőleges arra. A két fénysugarat aztán tükörrel újra egyesítették egy
interferométerben, ahol interferencia-vonalakat kaptak. Ezután 90 fokkal
elfordították az interferométer-karokat, és azt várták, hogy az
interferencia-vonalak ismét megjelennek, de eltolódást szenvednek. Azonban nem
volt eltolódás. Valójában nem is lehetett, hiszen a kísérlet kiindulópontja már
eleve hibás volt!
Nézzük a két
esetet!
1. eset I. fényútja (1/I) a
következő – előre: A; vissza: A/2; merőlegesen: A/2; összesen: A+A/2+A/2=2A
az 1/II fényút –
előre: A/2; merőlegesen: A/2; előre: 2A; összesen: a/2+A/2+2A=2A
2. eset I. fényútja
a következő – merőlegesen: A; merőlegesen A/2; előre: A/2; összesen: 2A
a 2/II fényút – merőlegesen: A/2;
vissza: A/2; előre: A; összesen 2A
Az 1/I=2/II és
2/1=1/II, vagyis a fényutak egyszerűen felcserélődtek. Miért kellett volna
eltolódást kapni az interferencia-vonalakat illetően??? (Az előbbi cáfolat
vektorösszegzéssel is alátámasztható.)
A
Michelson-Morley kísérlet – ez a része legalábbis – azt igazolta, amit Galilei
óta tudunk: egyenes vonalú, egyenletes mozgást semmiféle „trükkel” sem lehet
kimutatni. Ebből a néhány elrendezésből a fénysebesség abszolút voltára, és az
éter nem létezésére következtetni, hm, legalábbis nagy merészség… De
mindenféleképpen tudománytalan.

Amit nem szoktak
elmondani a kísérlettel kapcsolatban az a következő: amikor a rendszert
megforgatták, azonnal megjelentek az interferencia-eltolódások. Az elrendezés
tehát érzékeny volt a gyorsuló mozgásra (minden körmozgás gyorsuló mozgás!). Ha
tehát „valami” hatást fejt ki a gyorsuló mozgással mozgó fényre, akkor ott van
is valami. Ez pedig a vákuum, vagy más szóval az éter, melynek létét éppenséggel
cáfolni igyekeztek…
Ha pedig a
fénysebesség nem abszolút sebesség, ha létezik éter, akkor természetesen az
idegenek is meglátogathattak bennünket. Ez esetben viszont el kellene ismerni a
létezésüket, a beismerést viszont nemzetközi szerződés tiltja meg. Patthelyzet.
Mellesleg a Nibiru
eléréséhez nincs is szükség különleges technikára. A küldetés megvalósításán
lelkesen dolgoznak is. De mivel „idegenek nem léteznek”, az „Interstellar Probe”
nevű katonai űrszonda sem létezik. Tehát most „nem létező dolgokról”
beszélgetünk.
Az USA a következő
költségvetési évre közel háromszorosára növelte katona űrprogramjának kiadásait,
az előrejelzések szerint további, hasonló arányú bővítés várható az
elkövetkezendő években. Vajon mire, ki ellen irányul ez a lépés, ha nincs odaát
senki?
Csillagközi utazás

A NASA csapkodószárnyú repülőgépe.
Ember-alkotta
űreszközt juttatni egy távoli csillaghoz még az ezredvégi tudásanyag birtokában
is nagy kihívás. Mindenesetre már az 1950-es években is próbáltak olyan űrhajót
tervezni, amely elhagyhatná a Naprendszert. Abban az időben, amikor hivatalosan
még semmiféle űrhajó sem létezett… akkoriban minden áron emberes küldetést
szerettek volna megvalósítani, így született meg az Orion-terv. Az űrhajó
meghajtását kicsiny atombombák felrobbantása szolgáltatta volna.
Hasonlóan
fantasztikus elvekre építve született a Nova-program, amelyben az óriási
távolságok leküzdésére magfúziós elven működő hajtóművet alkalmaztak volna. A
cél a Barnard-csillag lett volna, hajtóanyagként folyékony deutériumot, illetve
a hélium hármas izotópját használták volna.
Az első, csillagközi
repülésre vonatkozó reális terv a Daedalus volt, amelyet a British Society
dolgozott ki 1977-ben. Az általuk elképzelt űrhajó 500 tonnás, az utazás mintegy
40 évig tartana.
A robot-technika
alkalmazása azonban olcsóbbá és kivitelezhetőbbé tesz egy ilyen vállalkozást.

A szemtanúk szerint így nézett ki a
roswelli ufó.
Jelenleg alkalmazott
technika segítségével a Voyager űrszondák jutottak legtávolabbra bolygónktól,
mintegy 11 milliárd km-re, 25 év alatt. Ez a Plútó távolságának nagyjából
kétszerese. Ezzel a sebességgel haladva több tízezer év kellene a legközelebbi
csillag elérésére, tehát egy ilyen vállalkozás végrehajtásának különösebben
nincs sok értelme. A tervezés alatt álló Kuiper-express űrszonda 17 év alatt
érné el a Plútót. Nagyobb távolságba indulva lényegesen más technika szükséges.
A 2005. táján
indítandó (szigorúan titkos) katonai űrszonda „hivatalosan” a csillagközi teret
vizsgálná, a napszél és a csillagközi tér ütközésekor keletkező lökéshullámfront
térségét. Ha „csak” erről volna ténylegesen szó, akkor természetesen fölöttébb
buta dolog lenne a titkolódzás és a honvédség bevonása. Tehát nemcsak erről van
szó. A véletlen úgy hozta, hogy a Nibiru is nagyjából ebben a távolságban
található.

Napvitorlás a Mars mellett. Fantáziarajz.
Egy csillagközi
utazás során igen sok hiba felmerülhet, amelyek próbára teszik az irányítók
problémamegoldó képességét. Persze ez egyáltalán nem jelenti azt, hogy egy ilyen
küldetés megvalósíthatatlan. Viszont rendkívül súllyal kell figyelembe venni azt
a tényt, hogy a távolodó űrszonda végleg magára marad, s a rádiójelek gyengülése
miatt hosszú idő múlva már nem is lesz irányítható. Erre megoldást jelenthet az
űrszonda létfontosságú részeinek többszörözése, így meghibásodás esetén be tudna
kapcsolódni valamelyik tartalék példány. Azonban túlzott óvatosság esetén az
űrszonda nagy és nehézkes szerkezetté válna, növekedne a szerkezeti anyagok
tömege is, ami miatt a hajtómű teljesítményét is meg kellene növelni.
Mindezekből úgy tűnik, hogy egy megfelelő csillagközi szonda tervezése még
hosszú évtizedeket is várathat magára. A látszat azonban csal.
Az Interstellar Probe
A Nibiru 1983-as
felfedezését követően lázas munkálatok kezdődtek. Igaz már korábban is
alkalmaztak és teszteltek ion-, plazma-, és atomhajtóműveket, azonban nem ekkora
távolságra. Az intelligens vezérlőrendszerek fejlettségi szintje is lényegesen
eltért a maiakétól. Az ár sem volt közömbös. Mindent egybevetve, alapvetően
három fejlesztési irányt jelöltek ki az Interstellar Probe hajtóművét illetően.
Az űrszonda tömege
kb. negyed tonnát tesz majd ki, s a legközelebbi csillag, a Proxima Centaurihoz
vezető út mindössze 1%-ig jut el. A tervezet bár szigorúan titkos, azért elég
sok minden kiszivárgott róla.
Egy
ionhajtómű szerkezeti rajza.
Jelenleg a kémiai
meghajtás mellett a legtöbb tapasztalat az ionhajtóművek használata révén gyűlt
össze. A legsikeresebb alkalmazása az Eros kisbolygóra leszállt NEAR űrszondához
köthető. A kormányzat és a honvédség is ezt a megoldást támogatja, hiszen a
NASA-t utasították, 2005-re legyen kész egy akkora teljesítményű ionhajtóművel,
mely a földkörüli pályán 100 tonnát képes megmozgatni. (Ennél jelentősen kisebb
tömeget nyilván jóval nagyobb sebességre gyorsíthatna.). Ekkora teljesítményű
hajtóművel lehetőség nyílik arra, hogy egy adott égitest körül lefékezve tartós
vizsgálatokat lehessen végezni, majd visszatérni a Földre, s mindezt emberi
léptékű idő alatt!
Alternatív
megoldásként a napvitorlást vizsgálták meg. Hihetetlenül vékony, erős és könnyű
hártyákat képesek a tudósok előállítani. Az Űrszonda a Nap felé indult volna,
nagyjából a Merkur pálya környékén kibontotta volna több négyzetkilométer
felületű, de mindössze néhány kilogramm tömegű vitorláját, s a Nap sugárnyomását
felhasználva, akár a fénysebesség 10%-ra gyorsulva, rövid idő alatt elérhette
volna a kívánt térséget. A napvitorlával az volt a probléma, hogy az ide-oda
száguldozó kozmikus porszemek széttépték volna, s a visszaút sem lett volna
kivitelezhető egy esetleges probléma esetén.
Csillagközi szonda magnetoszférikus
buborékban.
A harmadik elképzelés
már szinte a Csillagok Háborúja sorozatban alkalmazott technikákon is túltesz.
Ez nem mást, mint a földi magnetoszférát és a napszél kölcsönhatását használná
fel. A földi magnetoszféra a Nap felöl erősen belapult, míg az ellentétes
oldalon hosszú uszályként nyúlik el. A Nap sugárnyomása gyenge ahhoz, hogy
magnetoszféránkat letépje, de ahhoz elég erős, hogy kisebb részeket szakítson le
róla. A NASA Marshall Űrközpontjában, Dennis Gallagher dolgozta ki egy egészen
speciális napvitorlás tervét. Eszerint az űrszondát a körülötte kialakított
mágneses mező és a napszél kölcsönhatása juttatná el a célállomáshoz.
Számításaik szerint, egy 15 km átmérőjű mini-magnetoszférára a Föld pályája
mentén 1-3 Newton nagyságú erővel hat a napszél. Ez az erő pedig igen jelentős:
három hónap alatt akár 290.000 km/h sebességre gyorsíthatna fel egy negyed
tonnás űreszközt. A magnetoszféra-meghajtás kísérleteit egy 6x10 méteres
vákuum-kamrában végzik, ahol a mágneses teret elektromos tekercs segítségével
állítják elő. Ezek után a mágneses buborékot felfújják ionizált gáz, azaz plazma
segítségével, innen ered a kísérlet neve is M2P2 (Mini-Magnetospheric Plazma
Propulsion). Az űrben 1 KW energiára, s mintegy 1 kg héliumra lesz szükség
naponta a buborék fenntartásához. Ezáltal a napszélből 600 kW energia csapolható
meg. A mágneses buborék egyfajta védőpajzsként is szolgál. A problémát itt is a
visszatérés nehézsége jelenti. A megnetoszféra-hajtású űrszonda nem tudna
visszatérni.

Ilyen mágneskatapultokkal akarják
felvinni az űrbe a csillagközi szonda elemeit.
Természetesen
Oroszország sem tétlenkedik. Ők a napvitorlást részesítik előnyben. A titkolózás
sem kisebb, mint az óceán túlpartján, sőt, ha lehet, még szigorúbb. Olyannyira,
hogy kísérleti napvitorlásukat nem is közönséges rakétaindító-állomásról
bocsátották fel, hanem egy tengeralattjáróról, a víz színe alól! Az ősszel
végrehajtott teszt állítólag sikertelen volt. A napvitorlás – ha nem jön közbe
sérülés – gyorsabban célhoz érhet, mint az USA ionhajtóműves űrszondája, csak
persze a visszatérés szinte kizárt. Lehet, hogy nem is cél. Talán egy újabb
űrverseny bontakozott ki a nagyhatalmak között a háttérben.
Az egész emberiség
szempontjából nem rózsásak a kilátások. Az USA hadserege Irak területén porrá
bombázta a sumer-magyar régészeti lelőhelyeket, egyszer s mindenkorra
megsemmisítve azokat. Egyiptomban vízzel árasztották el az avar-hun emlékeket.
Mindent elkövetnek hát, hogy a már napvilágra került tényeken kívül többet ne
tudhassunk meg őseink tudásából. Ezek után milyen szándékkal indulhatnak az „Istenek
bolygójára”, arra az égitestre, ahonnan a magyarok ősei a tudást kapták? Félő,
hogy a Holdra helyezett plakett szavaival ellentétben, korántsem békés
szándékkal…
Vissza a nyitólapra
|